Academic Tutorials



English | French | Portugese | Dutch | Italian
Google

Online

� la maison Codes sources E-Livres T�l�chargements Nous contacter Au sujet de nous

HTML Tutorials
HTML Tutorial
XHTML Tutorial
CSS Tutorial
TCP/IP Tutorial
CSS 1.0
CSS 2.0
HLML
XML Tutorials
XML Tutorial
XSL Tutorial
XSLT Tutorial
DTD Tutorial
Schema Tutorial
XForms Tutorial
XSL-FO Tutorial
XML DOM Tutorial
XLink Tutorial
XQuery Tutorial
XPath Tutorial
XPointer Tutorial
RDF Tutorial
SOAP Tutorial
WSDL Tutorial
RSS Tutorial
WAP Tutorial
Web Services Tutorial
Browser Scripting
JavaScript Tutorial
VBScript Tutorial
DHTML Tutorial
HTML DOM Tutorial
WMLScript Tutorial
E4X Tutorial
Server Scripting
ASP Tutorial
PERL Tutorial
SQL Tutorial
ADO Tutorial
CVS
Python
Apple Script
PL/SQL Tutorial
SQL Server
PHP
.NET (dotnet)
Microsoft.Net
ASP.Net
.Net Mobile
C# : C Sharp
ADO.NET
VB.NET
VC++
Multimedia
SVG Tutorial
Flash Tutorial
Media Tutorial
SMIL Tutorial
Photoshop Tutorial
Gimp Tutorial
Matlab
Gnuplot Programming
GIF Animation Tutorial
Scientific Visualization Tutorial
Graphics
Web Building
Web Browsers
Web Hosting
W3C Tutorial
Web Building
Web Quality
Web Semantic
Web Careers
Weblogic Tutorial
SEO
Web Site Hosting
Domain Name
Java Tutorials
Java Tutorial
JSP Tutorial
Servlets Tutorial
Struts Tutorial
EJB Tutorial
JMS Tutorial
JMX Tutorial
Eclipse
J2ME
JBOSS
Programming Langauges
C Tutorial
C++ Tutorial
Visual Basic Tutorial
Data Structures Using C
Cobol
Assembly Language
Mainframe
Forth Programming
Lisp Programming
Pascal
Delphi
Fortran
OOPs
Data Warehousing
CGI Programming
Emacs Tutorial
Gnome
ILU
Soft Skills
Communication Skills
Time Management
Project Management
Team Work
Leadership Skills
Corporate Communication
Negotiation Skills
Database Tutorials
Oracle
MySQL
Operating System
BSD
Symbian
Unix
Internet
IP-Masquerading
IPC
MIDI
Software Testing
Testing
Firewalls
SAP Module
ERP
ABAP
Business Warehousing
SAP Basis
Material Management
Sales & Distribution
Human Resource
Netweaver
Customer Relationship Management
Production and Planning
Networking Programming
Corba Tutorial
Networking Tutorial
Microsoft Office
Microsoft Word
Microsoft Outlook
Microsoft PowerPoint
Microsoft Publisher
Microsoft Excel
Microsoft Front Page
Microsoft InfoPath
Microsoft Access
Accounting
Financial Accounting
Managerial Accounting


Syntaxe de XML pour RDF

Previous Next





Cette section d�crit la syntaxe de XML. Elle emploie les notations de namespace de XML, mais les noms augment�s sont obtenus simplement en encha�nant un namespace � un nom d'�l�ment. Par cons�quent nous emploierons la m�me convention que dans la section pr�c�dente pour les pr�fixes RDF : et RDFS :.


La description

Un document de RDF est la liste de descriptions. Habituellement chaque description s'applique � une ressource, et contient la liste de propri�t�s. Les valeurs de propri�t� sont l'URIs, coquilles ou toutes les autres descriptions.

Dans XML, les m�ta-donn�es de RDF sont incluses dans l'�l�ment appel� � rdf : RDF �. Cet �l�ment contient l'ordre des �l�ments appel�s RDF : Description. Ces �l�ments peuvent avoir un des deux attributs l'un ou l'autre RDF : au sujet de ou le RDf : Identification (mais pas deux).

  • RDF : au sujet de est employ� pour d�crire la ressource l'une des ; sa valeur est un URI absolu ou l'URI relatif.
  • <RDF:Description about="http://vyom.co.in/index.html">
    ...
    </RDF:Description>
  • RDF : L'identification est employ�e pour d�finir la ressource ; sa valeur est la marque de fragment (sans caract�re de � # �) � ajouter � un document URI de XML. La ressource ne peut �tre d�finie plus d'une fois.
  • <RDF:Description ID="foo">
    ...
    </RDF:Description>
  • La description sans RDF : au sujet de ni RDF : On dit que l'identification d�crit une ressource anonyme.
  • <RDF:Description>
    ...
    </RDF:Description>

    Un �l�ment RDF : La description contient l'ordre des �l�ments de XML. Ces �l�ments sont interpr�t�s comme propri�t�s, dont l'URI de l'attribut est un nom augment� de l'�l�ment. Si un �l�ment est vide, il devrait avoir un attribut RDF : ressource dont la valeur est l'URI de l'objet (voir le C.C : Cr�ateur dans ci-dessous). Autrement, il peut contenir le texte plat (alors est interpr�t� comme coquille - voir le C.C : Titre dans ci-dessous) ou un RDF incorpor� simple : �l�ment de description (voir le C.C : Cr�ateur dans ci-dessous).


    <rdf:RDF xmlns:rdf="http://www.w3.org/1999/02/22-rdf-syntax-ns#"
    xmlns:dc="http://purl.org/DC/"
    xmlns:os="http://somesite.org/Schema/">
    <rdf:Description about="http://vyom.co.in/index.html">
    <dc:Creator rdf:resource="mailto:[email protected]"/>
    <dc:Title> Index of my web site </dc:Title>
    <dc:Creator>
    <rdf:Description about="mailto:[email protected]">
    <os:worksWith rdf:resource="mailto:[email protected]"/>
    </rdf:Description>
    </dc:Creator>
    </rdf:Description>
    </rdf:RDF>

    En cas d'ambigu�t�, l'attribut RDF : le parseType peut �tre employ� dans les �l�ments de propri�t� avec une � ressource � ou une valeur � litt�rale �. Le dernier peut �tre employ� quand la coquille contient des �tiquettes de XML, pour emp�cher pour �tre analys�e comme description.

    La syntaxe pourrait �galement �tre abr�g�e de deux mani�res :

    • Le nom d'�l�ments de description peut �tre remplac� par n'importe quel URI. Il est interpr�t� en tant que RDF additionnel : dactylographier la propri�t�, �valu�e par une ressource appel�e. Noter que le contexte laisse toujours diff�rer l'�l�ment dactylographi� de description de l'�l�ment de propri�t�.
    • des propri�t�s avec les valeurs litt�rales peuvent �tre �crites comme attributs pour les �l�ments de description plut�t qu'�l�ments inclus.

    Consid�rer pour un exemple, la description qui suit :

    <rdf:Descritpion ID="fatherOf">
    <rdf:type rdf:resource=
    "http://www.w3.org/1999/02/22-rdf-syntax-ns#Property"/>
    <rdf:label> father of <rdfs:subPropertyOf rdf:resource="#parentOf">
    </rdf:Descritpion>

    Ceci peut �tre abr�g� dans

    <rdf:Property ID="fatherOf" rdfs:label="father of">
    <rdfs:subPropertyOf rdf:resource="#parentOf">
    </rdf:Descritpion>


    Les r�cipients

    En tant que r�cipients plus t�t mentionn�s de RDF sont d�finis comme partie de syntaxe de XML. Un noeud de r�cipient est d�crit avec l'�l�ment sp�cial appel� RDF : Sac, RDF : Seq ou le RDF : Alt (ces �l�ments peuvent �tre employ�s au lieu du RDF : �l�ments de description). Ces descriptions sp�ciales peuvent seulement avoir le RDF : L'attribut d'identification ou soit anonyme, elles ne peut pas avoir le RDF : au sujet de.

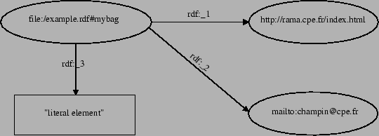
    Les propri�t�s d'adh�sion ne sont pas employ�es comme est, mais � la place l'�l�ment RDF : le Li est employ� ; l'analyseur doit le remplacer par la propri�t� num�rot�e appropri�e. La figure donn�e ci-dessous est un exemple de elle.

    <?xml version="1.0" encoding="UTF-8" ?>
    <rdf:RDF xmlns:rdf="http://www.w3.org/1999/02/22-rdf-syntax-ns#">
    <rdf:Bag ID="mybag">
    <rdf:li resource="http://vyom.co.in/index.html"/>
    <rdf:li resource="mailto:[email protected]"/>
    <rdf:li> literal element </rdf:li>
    </rdf:Bag>
    </rdf:RDF>


    Les descriptions distribu�es

    Au lieu du RDF : au sujet de, les descriptions peuvent �galement avoir l'attribut RDF : aboutEach ou le RDF : aboutEachPrefix. Ceci laisse distribuer l'exc�dent de description l'ensemble de ressources.

    • RDF : la valeur des aboutEach devrait �tre l'URI d'un r�cipient ; la description correspondante s'applique � chaque membre d'un r�cipient.
    • RDF : la valeur des aboutEachPrefix est la corde ; la description correspondante s'applique � la ressource l'une des dont l'URI commence par de la cette corde.

    Les r�alisations du RDF ne sont pas li�es pour garder seulement les informations sur ces descriptions distributives - c'est seulement le raccourci syntactique. Il peut avoir comme cons�quence les comportements inattendus de quelques agents, d�s que plus d'une source de RDF sera impliqu�e (des ressources d�finies dans le match de bidon de source la description distribu�e dans encore, mais d�tect�es en tant que tels).

    D'ailleurs, on ne l'indique pas si la description distribu�e peut �tre incluse comme valeurs de propri�t�. Bien que cette possibilit� ne soit jamais mentionn�e, la syntaxe formelle la permet. L'interpr�tation normale serait que la propri�t� est �valu�e par chaque ressource assortissant une description distribu�e.


    Le Reification

    La syntaxe de XML du RDF fournit une mani�re de reify les rapports affirm�s : l'arc simple peut reified en ajoutant le RDF : Attribut d'identification � un �l�ment de propri�t�, qui d�finira l'URI d'un rapport reified. D'une part, chaque arc produit par la description peut reified en ajoutant le RDF : attribut de bagID � la description. Ceci d�finit un URI de la nouvelle ressource de sac, dont les membres sont des rapports reified.







    Previous Next

    Keywords: rdf model, resource description framework xml, rdf statements, rdf schema


    HTML Quizes
    HTML Quiz
    XHTML Quiz
    CSS Quiz
    TCP/IP Quiz
    CSS 1.0 Quiz
    CSS 2.0 Quiz
    HLML Quiz
    XML Quizes
    XML Quiz
    XSL Quiz
    XSLT Quiz
    DTD Quiz
    Schema Quiz
    XForms Quiz
    XSL-FO Quiz
    XML DOM Quiz
    XLink Quiz
    XQuery Quiz
    XPath Quiz
    XPointer Quiz
    RDF Quiz
    SOAP Quiz
    WSDL Quiz
    RSS Quiz
    WAP Quiz
    Web Services Quiz
    Browser Scripting Quizes
    JavaScript Quiz
    VBScript Quiz
    DHTML Quiz
    HTML DOM Quiz
    WMLScript Quiz
    E4X Quiz
    Server Scripting Quizes
    ASP Quiz
    PERL Quiz
    SQL Quiz
    ADO Quiz
    CVS Quiz
    Python Quiz
    Apple Script Quiz
    PL/SQL Quiz
    SQL Server Quiz
    PHP Quiz
    .NET (dotnet) Quizes
    Microsoft.Net Quiz
    ASP.Net Quiz
    .Net Mobile Quiz
    C# : C Sharp Quiz
    ADO.NET Quiz
    VB.NET Quiz
    VC++ Quiz
    Multimedia Quizes
    SVG Quiz
    Flash Quiz
    Media Quiz
    SMIL Quiz
    Photoshop Quiz
    Gimp Quiz
    Matlab Quiz
    Gnuplot Programming Quiz
    GIF Animation Quiz
    Scientific Visualization Quiz
    Graphics Quiz
    Web Building  Quizes
    Web Browsers Quiz
    Web Hosting Quiz
    W3C Quiz
    Web Building Quiz
    Web Quality Quiz
    Web Semantic Quiz
    Web Careers Quiz
    Weblogic Quiz
    SEO Quiz
    Web Site Hosting Quiz
    Domain Name Quiz
    Java Quizes
    Java Quiz
    JSP Quiz
    Servlets Quiz
    Struts Quiz
    EJB Quiz
    JMS Quiz
    JMX Quiz
    Eclipse Quiz
    J2ME Quiz
    JBOSS Quiz
    Programming Langauges Quizes
    C Quiz
    C++ Quiz
    Visual Basic Quiz
    Data Structures Using C Quiz
    Cobol Quiz
    Assembly Language Quiz
    Mainframe Quiz
    Forth Programming Quiz
    Lisp Programming Quiz
    Pascal Quiz
    Delphi Quiz
    Fortran Quiz
    OOPs Quiz
    Data Warehousing Quiz
    CGI Programming Quiz
    Emacs Quiz
    Gnome Quiz
    ILU Quiz
    Soft Skills Quizes
    Communication Skills Quiz
    Time Management Quiz
    Project Management Quiz
    Team Work Quiz
    Leadership Skills Quiz
    Corporate Communication Quiz
    Negotiation Skills Quiz
    Database Quizes
    Oracle Quiz
    MySQL Quiz
    Operating System Quizes
    BSD Quiz
    Symbian Quiz
    Unix Quiz
    Internet Quiz
    IP-Masquerading Quiz
    IPC Quiz
    MIDI Quiz
    Software Testing Quizes
    Testing Quiz
    Firewalls Quiz
    SAP Module Quizes
    ERP Quiz
    ABAP Quiz
    Business Warehousing Quiz
    SAP Basis Quiz
    Material Management Quiz
    Sales & Distribution Quiz
    Human Resource Quiz
    Netweaver Quiz
    Customer Relationship Management Quiz
    Production and Planning Quiz
    Networking Programming Quizes
    Corba Quiz
    Networking Quiz
    Microsoft Office Quizes
    Microsoft Word Quiz
    Microsoft Outlook Quiz
    Microsoft PowerPoint Quiz
    Microsoft Publisher Quiz
    Microsoft Excel Quiz
    Microsoft Front Page Quiz
    Microsoft InfoPath Quiz
    Microsoft Access Quiz
    Accounting Quizes
    Financial Accounting Quiz
    Managerial Accounting Quiz

    Privacy Policy
    Copyright � 2003-2026 Vyom Technosoft Pvt. Ltd., All Rights Reserved.