| Introduzione al lavoro della squadra |
|
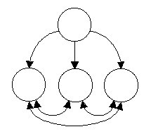
Gli organigrammi
|
|
Un'autorit� � delegata tradizionalmente gi� da un ufficiale pi� importante dell'organizzazione i vice presidenti esecutivi che a loro volta delegheranno le responsabilit� i livelli dei direttori fino ad accettare la responsabilit� dai responsabili di prima linea infine chi sono responsabili delle prestazioni degli operai nel reparto. Sotto questa struttura gerarchica dell'organizzazione, il responsabile specifico, �dirige� personalmente decide chi � l� in un reparto e che cosa la volont�. Un responsabile fornisce ai suoi operai tutte le informazioni e le risorse hanno fornito dal livello qui sopra.
|
|
Mentre il lavoro si trasforma in sempre pi� in complesso, i responsabili vogliono spesso i ritrovamenti che pi� lavoro pu� essere realizzato pi� rapidamente con meno sforzo e meno tempo, se gli operai comunicano e coordinano con a vicenda cos� come con la loro sporgenza. Questo gruppo degli operai sotto il responsabile former� una squadra.
|
|
|
| Una squadra
|
| La squadra � numero stante costituito del gruppo un piccolo di gente con le abilit� complementari che sono impegnate in un certo scopo comune, obiettivi di prestazioni ed il metodo per cui si giudicher� reciprocamente responsabili.
|
|
|
 |
 |
L'introduzione di parole chiavi al lavoro della squadra, il lavoro della squadra, le citazioni del lavoro della squadra, le esercitazioni del lavoro della squadra, le attivit� del lavoro della squadra, i giochi del lavoro della squadra, il lavoro della squadra di citazione, le abilit� del lavoro della squadra, il lavoro di costruzione della squadra, il lavoro efficace della squadra, il funzionamento della squadra, il buon lavoro della squadra, lavori della squadra, circa il lavoro della squadra, squadra funziona, squadre che lavorano, squadra che lavora insieme, squadre del lavoro, squadre del lavoro dirette auto, funzionanti nelle squadre, squadra del lavoro, funzionante in gruppo, funziona in gruppo, funzionando in una squadra, i lavori della squadra di nba, squadre del lavoro controllate auto, citazioni sul lavoro della squadra, che cosa � lavoro della squadra, squadre del lavoro di rendimento elevato, squadra del lavoro diretta auto, la risoluzione nelle squadre del lavoro, i lavori della squadra del nfl, lavoro di conflitto della squadra in linea, lavori della squadra dello schiaffo, l'operaio della squadra, le squadre sul lavoro, le immagini del lavoro della squadra, citazioni circa la squadra funziona, lavoro della squadra atletico
|